Trattazione relativistica
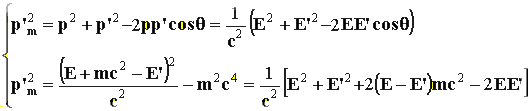
| I principi di conservazione dellenergia e della quantità di moto implicano: | ![]() |
da cui si ha:

e allora uguagliando le
due precedenti espressioni abbiamo: |
e dividendo per EE': |
e quindi:
OSSERVAZIONE:
Abbiamo così ottenuto la stessa relazione che abbiamo trovato con la trattazione non relativistica approssimata al primo ordine in E-E.
