Radicali doppi
Dimostrazione |
|
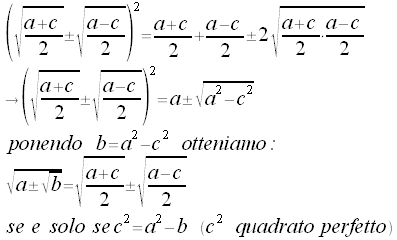
| Per dimostrare la formula che utilizzeremo molte volte il prossimo anno osserviamo che : | ![]() |
Applicazione |
|
| Pertanto: | ![]() |
Esempio |
|
| Analizzate il seguente esempio | ![]() |


